(含目录)12月24日河北省公布中药配方颗粒挂网144条! |
| 发布日期:2024/12/25 9:57:23 |
|
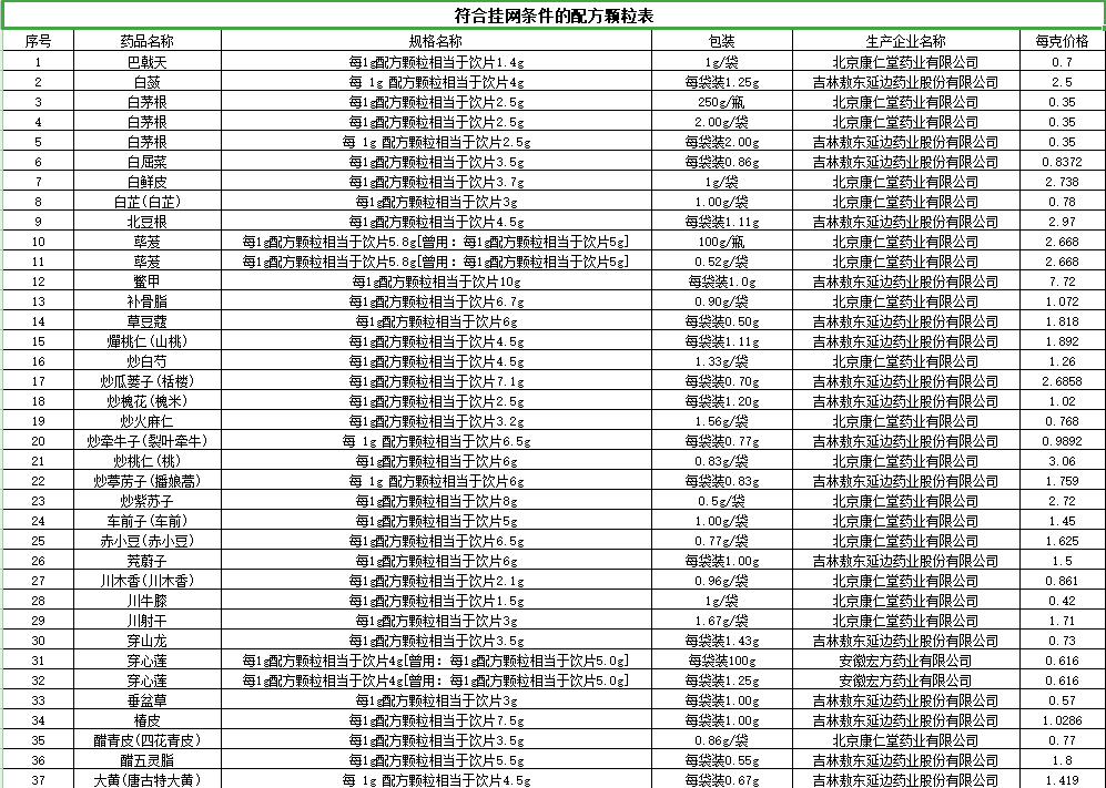
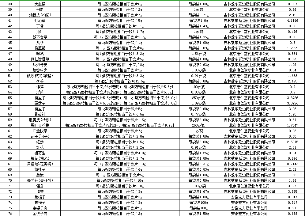
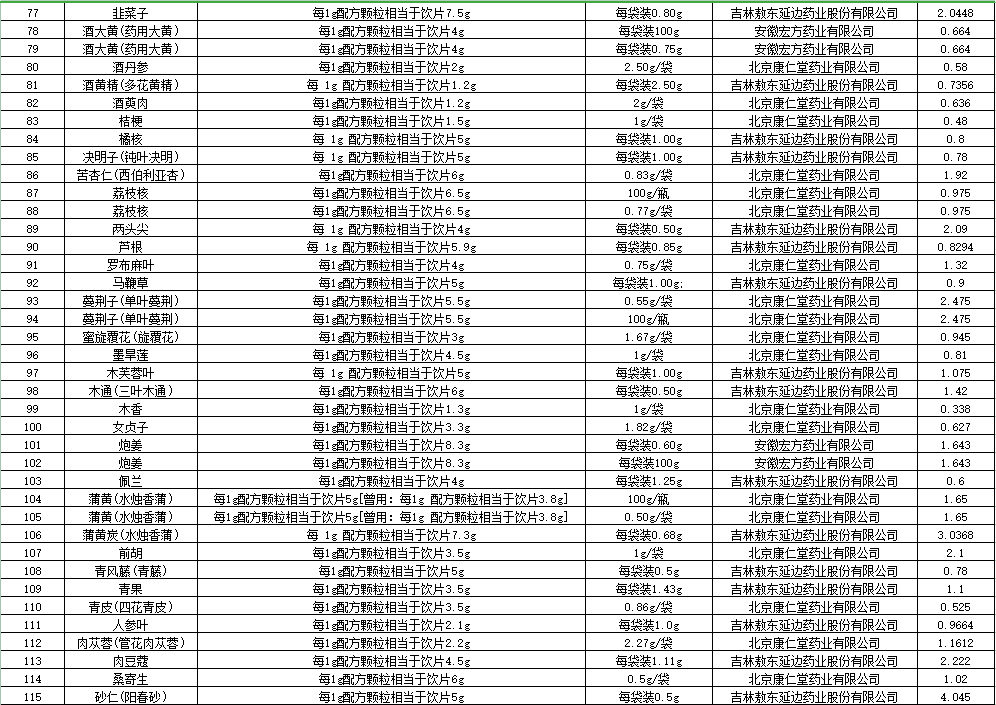
12月24日河北省关于公布中药配方颗粒挂网的通知。
附件:符合挂网条件的中药配方颗粒.xls

各相关企业:
按照《关于进一步做好药品挂网工作的通知》(冀医保规〔2020〕8号)规定,经企业申投诉并经审核,现将符合条件的中药配方颗粒进行公布并挂网。




企业在外省挂网(交易)价低于我省的,应于30日内提出价格调整申请。如挂网药品价格高于全国最低挂网价而不申报的,一经查实,取消该药品在我省挂网资格。
2024年12月24日
信息来源:河北省医用药品器械采购中心
|