您当前的位置:中标数据网 > 医药新闻频道 > 行业要闻 > (含目录)10月9日 上海医保新政:2025年度预算单列药品编码信息公布!

(含目录)10月9日 上海医保新政:2025年度预算单列药品编码信息公布!

  发布日期:2025/10/10 10:05:43

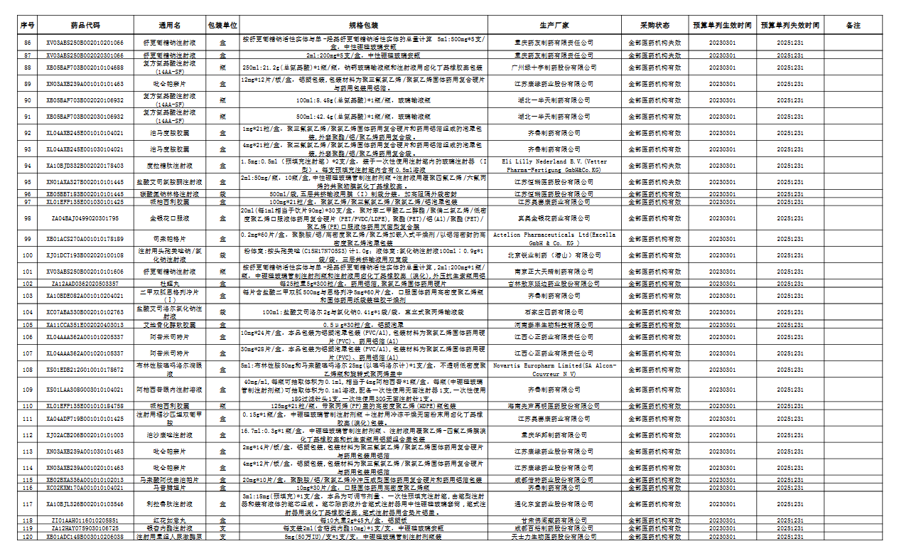
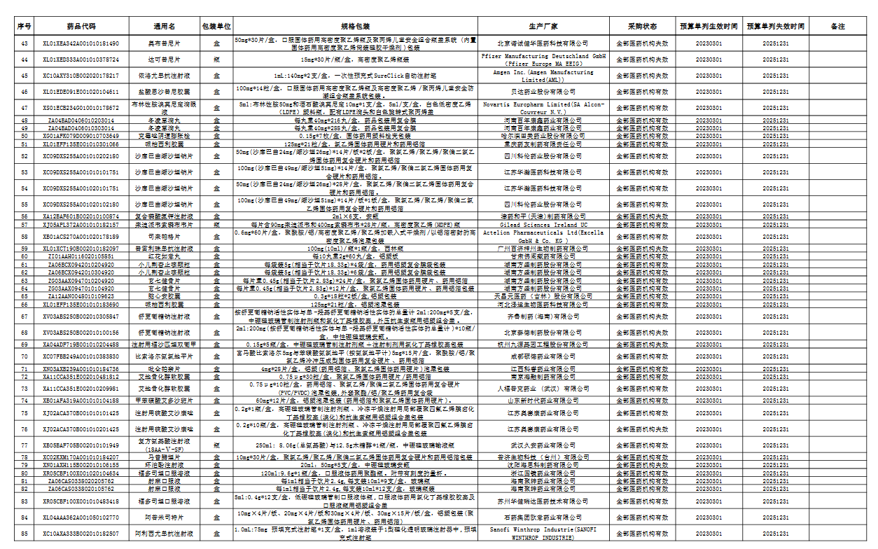
2025年10月9日,上海市医保局正式发布2025年度医保总额预算单列药品编码信息表。作为自2023年3月起实施的“连续三年预算单列”政策收官之年,这份最新名单将直接影响创新药的医保支付路径,也为生物医药企业提供了明确的政策信号。

附件:2025年度上海市医保总额预算单列药品编码信息表.pdf 

因文章内容有限!想要完整版目录联系客服获取!

独家集采品种推荐 |
通用名 剂型 省份 基药 发布时间
参芪阿胶... 上海 自... 2020-04-24
睾酮贴剂 贴剂 江苏 2018-04-17
复方双氯... 注射液 北京 非... 2019-05-24
环丝氨酸... 胶囊剂 广东 非... 2020-05-09
氯替泼诺... 滴眼剂 贵州 非... 2020-09-28
马来酸依... 胶囊剂 山西 基... 2011-09-29
复合维生... 注射液 福建 2016-03-07
· 关于我们 · 联系我们 · 意见反馈 · 网站地图 · 网站更新公告 · 药监局数据 ·